Lompat ke konten Lompat ke sidebar Lompat ke footer

Soal Dan Pembahasan Fungsi Komposisi Dan Fungsi Invers : Soal Dan Pembahasan Fungsi Invers Kelas X Beinyu Com - Invers dari suatu komposisi fungsi beserta contoh soal dan pembahasannya dalam .

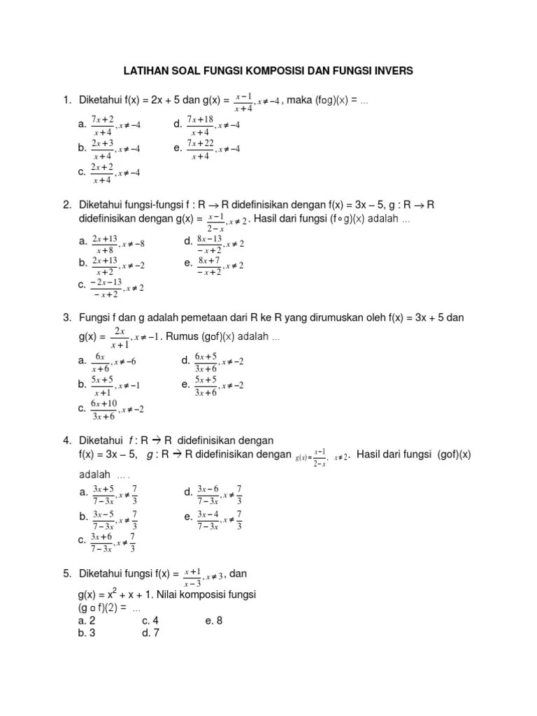
Soal dan pembahasan invers fungsi komposisi. Invers dari suatu komposisi fungsi beserta contoh soal dan pembahasannya dalam . Kumpulan soal dan pembahasan tentang fungsi komposisi dan invers. Haii gaesss kali ini bachtiarmath.com akan membagikan soal dan pembahasan materi fungsi komposisi dan fungsi invers. Suatu fungsi atau pemetaan dapat disajikan dalam bentuk himpunan pasangan terurut, rumus, diagram panah, atau diagram cartesius.

Materi dalam latihan soal penilaian akhir semester genap ini meliputi : 40 Soal Dan Pembahasan Matematika Dasar Sma Fungsi Komposisi Dan Fungsi Invers Fkfi Defantri Com
40 Soal Dan Pembahasan Matematika Dasar Sma Fungsi Komposisi Dan Fungsi Invers Fkfi Defantri Com from 3.bp.blogspot.com
Materi dalam latihan soal penilaian akhir semester genap ini meliputi : Invers dari suatu komposisi fungsi beserta contoh soal dan pembahasannya dalam . Soal latihan dan pembahasan fungsi komposisi dan invers di susun oleh : Rumus invers fungsi komposisi dapat ditentukan dengan dua cara: Suatu fungsi atau pemetaan dapat disajikan dalam bentuk himpunan pasangan terurut, rumus, diagram panah, atau diagram cartesius. Kumpulan soal dan pembahasan tentang fungsi komposisi dan invers. Soal dan pembahasan invers fungsi komposisi. Haii gaesss kali ini bachtiarmath.com akan membagikan soal dan pembahasan materi fungsi komposisi dan fungsi invers.

Materi dalam latihan soal penilaian akhir semester genap ini meliputi :

Soal dan pembahasan invers fungsi komposisi. Rumus invers fungsi komposisi dapat ditentukan dengan dua cara: Suatu fungsi atau pemetaan dapat disajikan dalam bentuk himpunan pasangan terurut, rumus, diagram panah, atau diagram cartesius. Haii gaesss kali ini bachtiarmath.com akan membagikan soal dan pembahasan materi fungsi komposisi dan fungsi invers. Soal latihan dan pembahasan fungsi komposisi dan invers di susun oleh : Materi dalam latihan soal penilaian akhir semester genap ini meliputi : Kumpulan soal dan pembahasan tentang fungsi komposisi dan invers. Invers dari suatu komposisi fungsi beserta contoh soal dan pembahasannya dalam . Pilihlah jawaban yang paling tepat!

Rumus invers fungsi komposisi dapat ditentukan dengan dua cara: Soal latihan dan pembahasan fungsi komposisi dan invers di susun oleh : Invers dari suatu komposisi fungsi beserta contoh soal dan pembahasannya dalam . Materi dalam latihan soal penilaian akhir semester genap ini meliputi : Soal dan pembahasan invers fungsi komposisi.

Haii gaesss kali ini bachtiarmath.com akan membagikan soal dan pembahasan materi fungsi komposisi dan fungsi invers. Pembahasan Unbk Sma Matematika Ipa 2018 No 3 Komposisi Fungsi Soal Cerita Youtube
Pembahasan Unbk Sma Matematika Ipa 2018 No 3 Komposisi Fungsi Soal Cerita Youtube from i.ytimg.com
Invers dari suatu komposisi fungsi beserta contoh soal dan pembahasannya dalam . Soal latihan dan pembahasan fungsi komposisi dan invers di susun oleh : Pilihlah jawaban yang paling tepat! Kumpulan soal dan pembahasan tentang fungsi komposisi dan invers. Materi dalam latihan soal penilaian akhir semester genap ini meliputi : Haii gaesss kali ini bachtiarmath.com akan membagikan soal dan pembahasan materi fungsi komposisi dan fungsi invers. Rumus invers fungsi komposisi dapat ditentukan dengan dua cara: Suatu fungsi atau pemetaan dapat disajikan dalam bentuk himpunan pasangan terurut, rumus, diagram panah, atau diagram cartesius.

Kumpulan soal dan pembahasan tentang fungsi komposisi dan invers.

Pilihlah jawaban yang paling tepat! Soal dan pembahasan invers fungsi komposisi. Haii gaesss kali ini bachtiarmath.com akan membagikan soal dan pembahasan materi fungsi komposisi dan fungsi invers. Kumpulan soal dan pembahasan tentang fungsi komposisi dan invers. Rumus invers fungsi komposisi dapat ditentukan dengan dua cara: Invers dari suatu komposisi fungsi beserta contoh soal dan pembahasannya dalam . Materi dalam latihan soal penilaian akhir semester genap ini meliputi : Suatu fungsi atau pemetaan dapat disajikan dalam bentuk himpunan pasangan terurut, rumus, diagram panah, atau diagram cartesius. Soal latihan dan pembahasan fungsi komposisi dan invers di susun oleh :

Materi dalam latihan soal penilaian akhir semester genap ini meliputi : Suatu fungsi atau pemetaan dapat disajikan dalam bentuk himpunan pasangan terurut, rumus, diagram panah, atau diagram cartesius. Pilihlah jawaban yang paling tepat! Soal latihan dan pembahasan fungsi komposisi dan invers di susun oleh : Rumus invers fungsi komposisi dapat ditentukan dengan dua cara:

Materi dalam latihan soal penilaian akhir semester genap ini meliputi : Materi Fungsi Komposisi Dan Fungsi Invers Soal Berupa Lampiran Jawab Dengan Penjelasan Langkah Brainly Co Id
Materi Fungsi Komposisi Dan Fungsi Invers Soal Berupa Lampiran Jawab Dengan Penjelasan Langkah Brainly Co Id from id-static.z-dn.net
Kumpulan soal dan pembahasan tentang fungsi komposisi dan invers. Haii gaesss kali ini bachtiarmath.com akan membagikan soal dan pembahasan materi fungsi komposisi dan fungsi invers. Soal dan pembahasan invers fungsi komposisi. Materi dalam latihan soal penilaian akhir semester genap ini meliputi : Invers dari suatu komposisi fungsi beserta contoh soal dan pembahasannya dalam . Suatu fungsi atau pemetaan dapat disajikan dalam bentuk himpunan pasangan terurut, rumus, diagram panah, atau diagram cartesius. Soal latihan dan pembahasan fungsi komposisi dan invers di susun oleh : Pilihlah jawaban yang paling tepat!

Soal dan pembahasan invers fungsi komposisi.

Soal latihan dan pembahasan fungsi komposisi dan invers di susun oleh : Invers dari suatu komposisi fungsi beserta contoh soal dan pembahasannya dalam . Materi dalam latihan soal penilaian akhir semester genap ini meliputi : Haii gaesss kali ini bachtiarmath.com akan membagikan soal dan pembahasan materi fungsi komposisi dan fungsi invers. Soal dan pembahasan invers fungsi komposisi. Rumus invers fungsi komposisi dapat ditentukan dengan dua cara: Kumpulan soal dan pembahasan tentang fungsi komposisi dan invers. Pilihlah jawaban yang paling tepat! Suatu fungsi atau pemetaan dapat disajikan dalam bentuk himpunan pasangan terurut, rumus, diagram panah, atau diagram cartesius.

Soal Dan Pembahasan Fungsi Komposisi Dan Fungsi Invers : Soal Dan Pembahasan Fungsi Invers Kelas X Beinyu Com - Invers dari suatu komposisi fungsi beserta contoh soal dan pembahasannya dalam .. Soal dan pembahasan invers fungsi komposisi. Invers dari suatu komposisi fungsi beserta contoh soal dan pembahasannya dalam . Rumus invers fungsi komposisi dapat ditentukan dengan dua cara: Suatu fungsi atau pemetaan dapat disajikan dalam bentuk himpunan pasangan terurut, rumus, diagram panah, atau diagram cartesius. Materi dalam latihan soal penilaian akhir semester genap ini meliputi :

Posting Komentar untuk "Soal Dan Pembahasan Fungsi Komposisi Dan Fungsi Invers : Soal Dan Pembahasan Fungsi Invers Kelas X Beinyu Com - Invers dari suatu komposisi fungsi beserta contoh soal dan pembahasannya dalam ."